中小学全科学习资料下载 立即领取

六年级语文模拟专项(作文)

2025-11-09 15:30:06 小升初专项 barry001

老师在这里为大家准备了六年级下册语文写作专项训练附范文,有需要的家长老师可以收藏起来,打印出来给孩子练习提高!免费领取。

六年级语文模拟专项(作文)的简单介绍

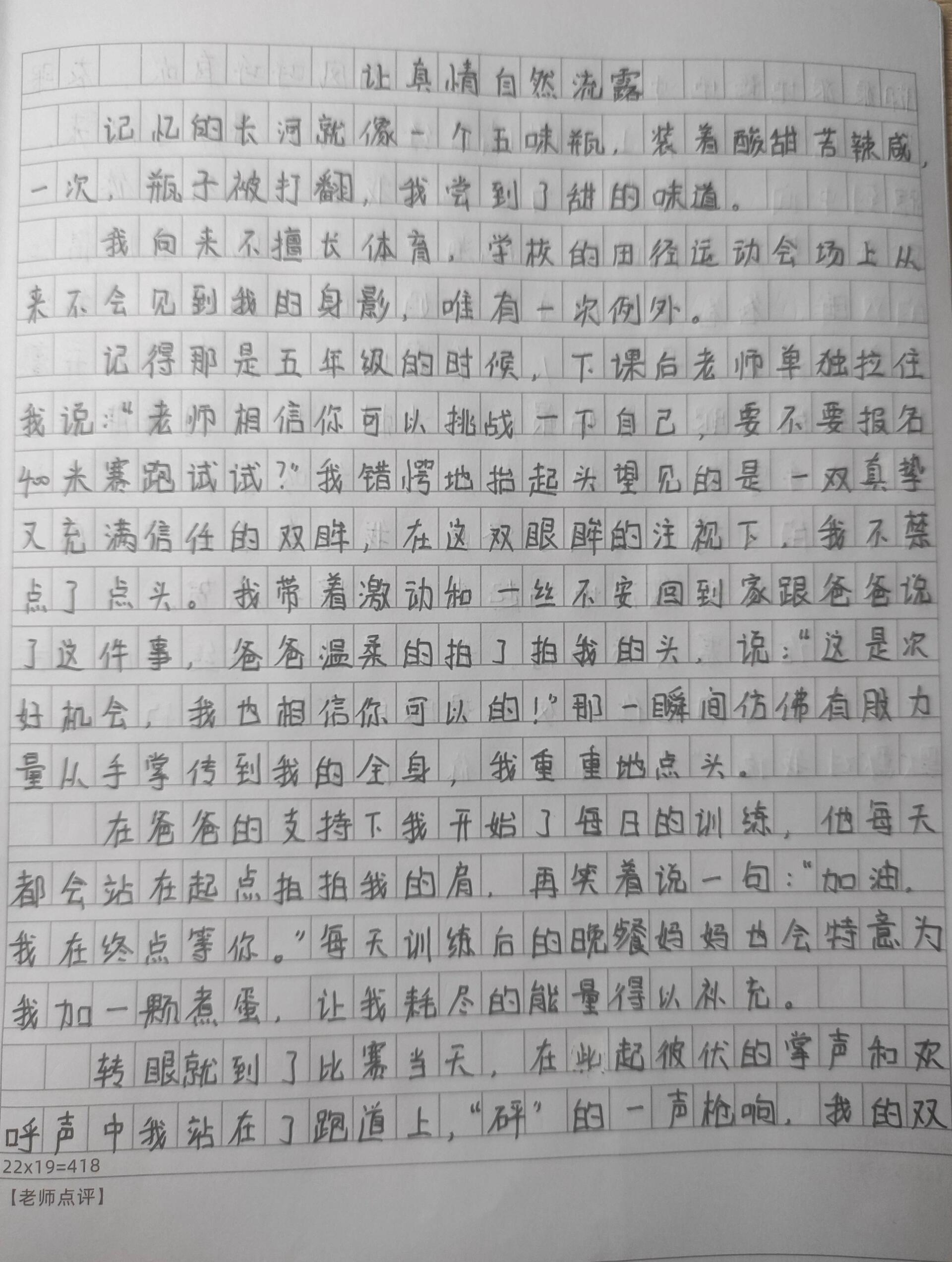
六年级下册语文小升初作文题专项练习一写作题1习作小学生活,渐近尾声凝神回眸,点点滴滴,似仍在眼前那一次,我笑了。

六年级上册习作分析六年级习作训练既是小学阶段的重点,也是一个难点要切实培养学生写文尤其是写记叙文的能力,懂得写作是为。

六年级语文模拟专项(作文)的简单介绍

中小学全科学习资料下载 立即领取
中小学全科学习资料下载 立即领取
中小学全科学习资料下载 立即领取
中小学全科学习资料下载 立即领取
中小学全科学习资料下载 立即领取