中小学全科学习资料下载 立即领取

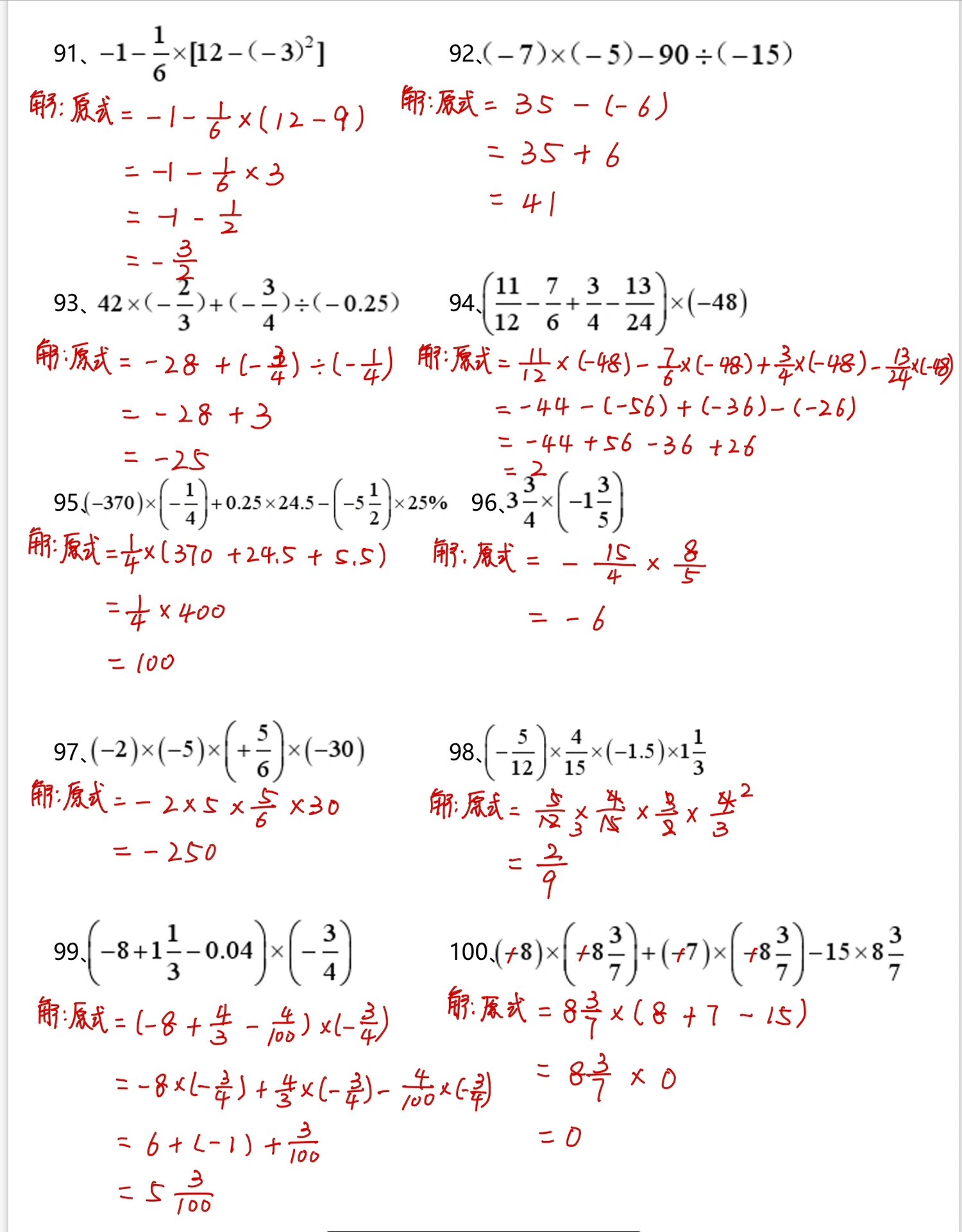
七年级有理数专题计算(七年级有理数混合运算练习题100道)

2025-10-01 2:30:04 初中资料 barry001

25秋七年级上册数学湘教版专题03 有理数的乘除混合运算计算题专项训练法则深化通过专项训练,学生能反复运用有理数乘。

七年级有理数专题计算(七年级有理数混合运算练习题100道)

一张图认识有理数今天给大家整理了有理数的计算技巧这一部分有些会作为规律题出现在填空选择的最后一道题考察,也有些会深入。

七年级有理数专题计算(七年级有理数混合运算练习题100道)

中小学全科学习资料下载 立即领取
中小学全科学习资料下载 立即领取
中小学全科学习资料下载 立即领取
中小学全科学习资料下载 立即领取
中小学全科学习资料下载 立即领取